Пингвины довольно долго высиживают яйца, у большинства видов этот срок достигает 2 месяцев, а у отдельных видов — 100 дней. Причём от высиживания пингвин не отлучается ни на минуту. Понятное дело, он не может ни поесть без посторонней помощи, ни нормально сходить в туалет, поэтому высиживающего яйца пингвина кормит партнёр (впрочем, не всегда), а вместо похода в туалет пингвин просто выстреливает фекалиями на расстояние около 40 см.
Последний процесс и стал объектом пристального внимания учёных.
В 2003 году учёные установили, что для стрельбы фекалиями пингвин развивает 10-60 кПа ректального давления, в зависимости от вязкости кала и размера клоаки. Но эта работа использовала модель течения Хагена-Пуазейля, которая учитывала только горизонтальный полёт струи кала по воздуху. Это слишком упрощённая модель, не дающая ответов на самые важные вопросы, поэтому японские учёные решили дополнить её.
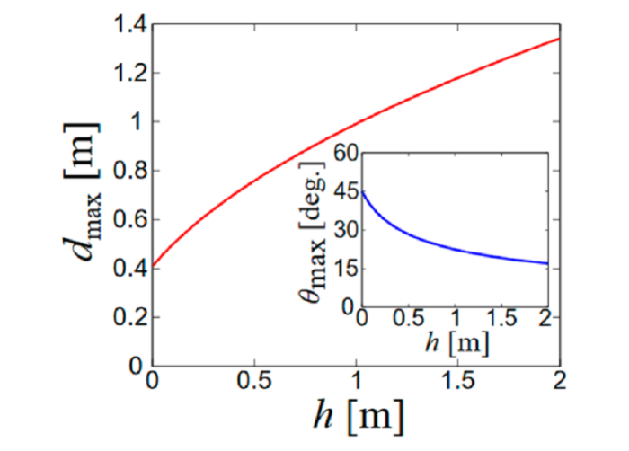
Во-первых, они приняли во внимание то, что гнёзда у пингвинов обычно представляют собой возвышенность около 1,1 м. Если клоака установлена под углом 21° к горизонту, это даёт 1,03 м расстояния фекального выстрела, а при максимальной высоте гнезда в 2 м радиус поражения увеличивается до 1,34 м.
Ось Х — высота гнезда, ось Y — расстояние полёта фекалий
Во-вторых, учёные сделали поправки на сопротивление воздуха, использовав W-функцию Ламберта. Поправки, впрочем, не сократили ощутимо дальность полёта фекалий.
В-третьих, авторы более точно оценили ректальное давление с помощью уравнения Бернулли и учёта движения фекалий по кишечнику в гравитационном поле. Второй фактор значительно снижает требуемое для выстрела давление — с 4,6 кПа до 2,3 кПа при тех же параметрах. Но при прохождении кишечника поток фекалий получает дополнительное давление, так что итоговое ректальное давление оказалось в 1,4 раз выше. Если бы человек мог развивать такое же давление, он мог бы стрелять струями кала на расстояние до 3 м.





